高画質(4K)・高音質

画像:高画質(4K)・高音質 画像:高画質(4K)・高音質
対応機種
4X10034X403ZR14T4034T3034T2034T103

4K長時間録画

4K HEVCエンコーダー
独自の圧縮技術で、長時間録画モードでも4K映像が美しい

MPEG4 AVCの約2倍の圧縮効率を持つHEVC技術を採用し、アドバンスドAVCエンコーダーで培った高画質技術を用いた当社独自の4K対応HEVCエンコーダーを搭載することで、4K長時間録画モードを実現。HEVC技術は、従来のMPEG4 AVC技術に比べて、画像を圧縮する基本ブロックのサイズを絵柄に合わせてよりきめ細かく選択できるため、4K映像の精細感を活かした長時間録画が可能です。4K長時間録画モードでは、4Kの解像度に加えて、60pによるなめらかな動き、HDRによるダイナミックな輝度表現、BT.2020による鮮やかな色再現なども楽しめます。ハイビジョン画質で長時間録画する場合は、これまでのアドバンスドAVCエンコーダーにより、シーンに合わせた映像処理を行うことで高画質の長時間録画を実現します。

画像:DIGA長時間録画コーデック技術の進化

※MPEG2の圧縮効率を1.0とした場合。

ロゴ:どこでもディーガ ロゴ:どこでもディーガ

スマホでも少ないパケット量で長時間再生できる

アドバンスドAVCエンコーダーの「ネット最適化技術」により、スマホでも少ないパケット量で長時間の映像が楽しめます。ダウンロードしてオフライン再生するときも画質を選べます。

4K長時間録画モード
4K衛星放送をきれいなまま、たっぷり残せる

4K衛星放送を放送画質そのままだけでなく、4K 1.3倍~4K 8倍録モード(全17モード)、おまかせ長時間「4K 8~12倍録モード」で録画できます。「4K解像度」「広色域規格BT.2020」「10bitの階調表現」「高輝度化技術HDR」「滑らかな60p表示」などの要素を残しながら映像圧縮を行うため、高精細かつ色彩豊かでダイナミックなコントラスト表現を長時間録画モードでも楽しめます。番組内容やハードディスク容量に合わせて好みの録画モードが選べるので便利です。

録画可能時間目安

 

4K
DRモード

4K
4倍録モード

4K
8倍録モード

おまかせ長時間
4K 8~12倍録モード

4X1003 内蔵10TB
(通常録画:6TB)
約390時間約1560時間約3120時間最大 約4680時間
4X403 内蔵4TB
(通常録画:4TB)
約260時間約1040時間約2080時間最大 約3120時間
ZR1 内蔵6TB約390時間約1560時間約3120時間最大 約4680時間
4T403 内蔵4TB約260時間約1040時間約2080時間最大 約3120時間
4T303 内蔵3TB約195時間約780時間約1560時間最大 約2340時間
4T203 内蔵2TB約130時間約520時間約1040時間最大 約1560時間
4T103 内蔵1TB約65時間約260時間約520時間最大 約780時間

おまかせ長時間「4K 8~12倍録モード」とは

録画の倍率を8倍から12倍までの間で自動的に調整します。例えば「動きの激しいスポーツ」「動きの少ないドラマやアニメ」など映像に合わせて画質を自動でコントロールしながら長時間録画。映像の乱れを抑えて、たくさん録画することができます。

表:動きの量と、録画倍率 表:動きの量と、録画倍率

• 4K衛星放送は、放送画質(4KDRモード)または4K長時間録画モード(「4K 1.3倍録」から「4K 8~12倍録」まで)で録画可能です。4K長時間録画モードで録画する場合は、一旦、放送画質(4KDRモード)で録画後に指定した録画モードに自動変換します。4K長時間録画モードの倍率表記は、4K衛星放送を4KDRモード(約33Mbps)で録画した場合と、それぞれの4K長時間録画モードで録画した場合の録画時間の倍率です。
• 複数の音声信号を含む番組を録画する場合、4K長時間録画モードで記録できる音声は最大2つまでです。初期設定「4K画質の音声ch数優先」が「切」(初期値)の場合、記録音声はAAC 5.1chまたはAAC 2chのいずれか一方のみです。初期設定「4K画質の音声ch数優先」が「入」の場合、AAC 22.2chまたはAAC 7.1chの音声も記録できます。4K長時間録画モードの倍率表記は、記録する音声が2チャンネルで1本のみの場合の倍率です。
• スマホ転送番組を記録した場合、録画時間は少なくなります。
• 記録時間は、記録音声がAAC 2ch 1本の場合です。記録音声がAACのマルチch、または2本以上の場合は、記録時間が短くなる場合があります。
• 4KDRモードの番組は、4KDRモードの番組とのみ番組結合可能です。4K長時間録画モードの番組は、4K長時間録画モードの番組とのみ番組結合可能です。

ハイビジョン画質の15倍長時間録画
長く録ってキレイに残せる

放送データを圧縮して、ハイビジョン画質で最長15倍(15倍録モード時)の長時間録画が可能です。さらに、「アドバンスドAVCエンコーダー」で、長時間録画の際も画質の低下を抑えて、高精細でノイズの少ない美しい映像を記録できます。

[15倍録モードに関する注意事項]

• 「4K衛星放送」番組は、ハイビジョン画質(1.5倍~15倍録)で録画することはできません。放送画質(4KDR)または4K長時間録画モードで記録が可能です。録画後に録画モード変換機能でハイビジョン画質に変更することは可能です。
• 「4K衛星放送」の録画番組をハイビジョン画質(1.5倍~15倍録モード)に変換した番組は、字幕の入/切や、音声の切り換えはできません。
• 15倍長時間録画はハードディスク/USBハードディスク、ブルーレイディスクに、BS/110度CSデジタル放送のハイビジョン映像(約24Mbps)をDRモードで録画した場合と、15倍録モード(約1.6Mbps)で録画した場合の比較。地上デジタル放送のハイビジョン映像(約17Mbps)を15倍録モード(約1.6Mbps)で録画する場合は約10.6倍。サラウンド音声やマルチ音声の場合、録画時間が短くなる場合があります。

高精細・高階調

4Kリアルクロマプロセッサ
4K/HDR映像の質感と煌めき感を最大限に引き出す

高画質ブルーレイディスクの研究開発拠点、パナソニックハリウッド研究所(PHL)で培った技術を応用し、当社独自の4K対応エンジン「4Kリアルクロマプロセッサ」を搭載。デコードした4K(4:2:0)信号を独自の高精度マルチタップ処理で4K(4:4:4)に補間※1※2することで、鮮度が高く、自然な質感と立体感にあふれた4K映像を実現します。またZR1には、色信号処理の精度を高め、色の輪郭をより正確に再現する「4Kリアルクロマプロセッサplus」を搭載(これらの処理はHD(4:2:0)素材をHD(4:4:4)出力するときにも有効です)。

画像:4Kリアルクロマプロセッサ」ありとなしを比較 画像:4Kリアルクロマプロセッサ」ありとなしを比較

※1 4K/60p/4:4:4対応テレビと18Gbps対応HDMIケーブル(別売)で接続する必要があります。4K/24pは4:4:4/36bitで出力しますが、4K/60pは4:2:2/36bitで出力します。
※2 36bit階調=12bit(Y)+12bit(Cb)+12bit(Cr)。通常のブルーレイディスクの映像は24bit階調=8bit(Y)+8bit(Cb)+8bit(Cr)。
※3 「4Kリアルクロマプロセッサ:あり」は、当社Ultra HD ブルーレイ対応モデルで高精度色補間処理を行った場合。「4Kリアルクロマプロセッサ:なし」は、比較のため実験的に高精度色補間処理をオフにした場合の画像です。
• Ultra HD ブルーレイ規格のHDR信号に対応していないテレビをお使いの場合、ディスクによっては再生できない場合があります。
• 4K映像を4Kディスプレイに表示し、その画面を実際に撮影した画像です。

4Kダイレクトクロマアップコンバート
ハイビジョン映像も高精細な4K相当にアップコンバート

ブルーレイディスクや放送中の番組、録画番組を、高精細で自然な質感と立体感にあふれる4Kアップコンバート映像で楽しめます。ZR1では「4Kダイレクトクロマアップコンバートplus」を搭載。色信号処理の精度をさらに高めています。ハイビジョン領域の色信号補間を経ずに、デコードしたハイビジョン信号からダイレクトに4K信号に変換する独自の4Kダイレクトクロマアップコンバート方式を採用しています。

※[ZR1]4K/60p/4:4:4対応テレビと18Gbps対応HDMIケーブル(別売)で接続する必要があります。4K/24pは4:4:4/36bitで出力しますが、4K/60pは4:2:2/36bitで出力します。

画像:4Kダイレクトクロマアップコンバート 画像:4Kダイレクトクロマアップコンバート
画像:一般的な4Kアップコンバート方式と4Kダイレクトクロマアップコンバート方式の比較図 画像:一般的な4Kアップコンバート方式と4Kダイレクトクロマアップコンバート方式の比較図

4K/24p、30p変換出力
映画やドラマをオリジナルのフレームレートに戻して出力できる

<対応機種> ZR1

4K衛星放送は4K/60pで放送されていますが、これを4K/24pもしくは30pに変換して出力する機能を搭載しました。これにより、24コマ/秒で制作された映画や、30コマ/秒で制作されたドラマなどを、元のフレームレートに戻して出力することが可能です。HDMI2.0(18Gbps)であれば、4K/24p(or 30p)/4:4:4信号で出力できるので、当社独自の「4Kリアルクロマプロセッサplus」の性能を最大限に活用できます。また、1080/60iで放送されているハイビジョン放送にも対応しています。

• 画像の変換出力は一例です。
• 本機能はハードディスクやブルーレイディスクに記録した放送番組の再生時に対応しています。放送視聴時、インターネット動画視聴時、及び市販のブルーレイディスク再生時には対応していません。また、4K/24pや4K/30pへの変換はメニューから選択する必要があり、自動変換はされません。
• 30コマ/秒以外で制作されたドラマに対しては適切な変換ができません。

Prime Videoの4K/24pコンテンツをオリジナルのまま出力

Prime Videoの4K/24pで制作・配信されている映画をオリジナルの4K/24pで出力して楽しめます。

次世代ブルーレイ規格対応

Ultra HD ブルーレイ再生
従来のブルーレイを超える美しい4K/HDR映像を楽しむ

Ultra HD ブルーレイとは、4K対応の次世代ブルーレイディスク規格です。4K(3,840×2,160画素)解像度に加え、60pの高フレームレートや最大1,000~10,000nitの高輝度で質感あふれる表現が可能な「HDR(ハイダイナミックレンジ)」、色の再現性を大幅に高める広色域規格「BT.2020」などに対応したもので、4K解像度による高精細感、大きな明暗差による立体感や鮮やかな色調、なめらかな動きによる美しい映像表現が可能です。

• 36bit階調=12bit(Y)+12bit(Cb)+12bit(Cr)。通常のブルーレイディスクの映像は24bit階調=8bit(Y)+8bit(Cb)+8bit(Cr)。
• 4K/60p/4:4:4に対応するためには18Gbps対応のHDMIケーブル(別売)が必要です。

画像:Ultra HD ブルーレイ再生

広色域 BT.2020

4K/8K放送に向けて策定されたITU-R BT.2020の広色域信号に対応。従来のブルーレイディスク(BT.709準拠)では表現できなかった豊かで鮮やかな色彩表現が可能になります。

画像:広色域 BT.2020

4K/60p/36bit 出力対応

HDMI(ver2.0a)規格に準拠した4K/60p/4:2:2/36bit、4K/60p/4:4:4/24bit、4K/24p(30p)/4:4:4/36bitなど、 高スペックでの4K出力が可能です。Ultra HD ブルーレイ規格のHDR信号の出力にも対応します。

画像:4K/60p/36bit 出力対応

ダイナミックレンジ調整
HDR映像の明るさを調整できる

HDR映像をHDR対応テレビで視聴する場合に、映像の明るさを調整できます。例えば、明るいリビングで視聴するときでも、HDR映像の暗い部分を明るく調整することで、見やすい映像が楽しめます。

画像:ダイナミックレンジ調整 画像:ダイナミックレンジ調整

• HDR10+/Dolby VisionコンテンツをHDR10+/Dolby Vision仕様で映像出力している時は、ダイナミックレンジ調整は無効となります。

ダイナミックレンジ変換調整

HDR映像をHDR非対応テレビで視聴する場合に、映像の明るさを調整できます。当社独自のダイナミックレンジ変換により、高画質の映像を楽しめます。

HDR機能

高輝度HDR規格対応
立体感のある精細な映像表現

4K8K衛星放送に採用されている規格「HLG」や4K映像が収録されたブルーレイディスク「Ultra HDブルーレイ」の標準規格「HDR10」、さらにシーンごとにHDR信号の情報を付加できるダイナミックメタデータを採用した最新のHDR規格「HDR10+」にも対応。ZR1なら、映画や配信サービスで採用されている「Dolby Vision(ドルビービジョン)」にも対応。驚異的なコントラストに加え、なめらかな色の階調も表現できる高品位なHDR映像で、製作者の意図を忠実に再現した映像を楽しめます。

対応規格内容
HDR10ブルーレイディスク 「Ultra HDブルーレイ」などに採用されているHDRの標準規格。
HDR10+シーンごとにHDR信号の情報を付加できるダイナミックメタデータを採用した最新のHDR規格。
HLG
(ハイブリッド・ログガンマ)
4K8K衛星放送などに採用されているHDR規格。
Dolby Vision®
(ドルビービジョン)
多くの大作映画などで採用される、輝度、コントラスト、色彩を規定する最新鋭HDR規格。

• Dolby、ドルビー、Dolby Atmos、Dolby Vision、およびダブルD記号は、アメリカ合衆国と/またはその他の国におけるドルビーラボラトリーズの商標または登録商標です。

高精度「HDRトーンマップ」技術
Ultra HD ブルーレイソフトごとに自動的に最適化

<対応機種> 4X1003/ZR1

Ultra HD ブルーレイ再生時に、通常はディスプレイ側でおこなうトーンマップ処理をレコーダー側で高精度におこなう、独自の「HDRトーンマップ」技術を採用。ディスプレイが表現しきれないHDR映像の高輝度部の色や階調を、独自の処理で映像作品ごとに自動的に最適化します。お使いのディスプレイによらず、より安定したHDR映像を楽しめます。液晶テレビや有機ELテレビに加えてプロジェクターに最適化したモードも搭載しています。

画像:HDRトーンマップ「切」のイメージ

HDRトーンマップ「切」の場合

画像:HDRトーンマップ「入」のイメージ

HDRトーンマップ「入」の場合

• お買い上げ設置設定では、HDRトーンマップは「切」状態となっています。
• 4K衛星放送のHDR番組(HL映像)には効果はありません。
• [4X1003]HLG/SDRコンテンツの再生時や、 HDR10+コンテンツをHDR10+仕様で映像出力している時は、HDRトーンマップは無効となります。
• [ZR1]HLG/SDRコンテンツの再生時や、 HDR10+/Dolby VisionコンテンツをHDR10+/Dolby Vision仕様で映像出力している時は、HDRトーンマップは無効となります。

システムガンマ調整
HDR映像やSDR映像のコントラスト感を自在に調整できる

<対応機種> 4X1003/ZR1

HDR映像のコントラスト感は、素材やディスプレイ(液晶テレビ、有機ELテレビ、プロジェクターなど)によってさまざまです。「システムガンマ調整」を用いれば、HDR映像のコントラスト感をお好みに合わせて自在に調整することができます。HDR映像をSDRに変換して出力する場合やSDR映像に対しても有効です。従来は±6段階の調整でしたが、1段階あたりの調整幅を従来の1/2とすることにより、±12段階の細かな調整を可能にしています。

画像:設定値「-12」のイメージ

設定値 -12

画像:設定値「+12」のイメージ

設定値 +12

• [4X1003]HDR10+コンテンツをHDR10+仕様で映像出力している時は、システムガンマは無効となります。
• [ZR1]HDR10+/Dolby VisionコンテンツをHDR10+/Dolby Vision仕様で映像出力している時は、システムガンマ調整は無効となります。

自動映像フォーマット切り換え
4K衛星放送の番組を、お使いのテレビに合わせて出力

4K/HDR(HLG)方式で送られてくる4K衛星放送の番組を、お使いのテレビに合わせて自動で映像変換、HDMI出力します。例えば、HLG方式に対応していない4K/HDRテレビと接続した場合は従来のHDR(HDR10)に自動で変換するので、コントラスト表現を損なうことなく信号を出力できます。また、フルハイビジョンテレビやHDR非対応のテレビと接続した場合でも、従来の解像度やダイナミックレンジに変換して出力します。

※Hybrid Log-Gamma/ハイブリッド・ログガンマの略。HDR(HLG)コンテンツをHDRで視聴するためには、HDCP2.2、4K/60p/4:4:4、HDRに対応する機器や接続端子に接続してください。HLGに非対応のHDRテレビと接続した場合は従来のHDR(HDR10)に変換して映像を出力します。また、18Gbps対応のHDMIケーブル(別売)が必要です。

自動映像フォーマット切り換え(お使いのテレビと接続した場合)

画像:自動映像フォーマット切り換え 画像:自動映像フォーマット切り換え

4K長時間ダビング

「4K衛星放送」をブルーレイディスクにダビング
ドラマ1クール分を1枚のブルーレイディスクに残せる

4K衛星放送をブルーレイディスクへダビングできます。放送画質そのままでも、4K長時間録画モードで録画した番組もダビング可能。4K 8倍録モードなら25GBディスクに約12時間分ダビングできるので、ドラマ1クール分を1枚のディスクに残せます。USBハードディスク(別売)への動画ダビングにも対応しています。

イメージ:ドラマの1クール分残せる

録画可能時間目安

 

4K
DRモード

4K
4倍録モード

4K
8倍録モード

おまかせ長時間
4K 8~12倍録モード

25GB約1時間30分約6時間約12時間最大 約18時間
50GB約3時間約12時間約24時間最大 約36時間

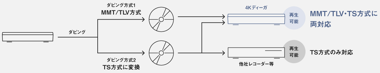
2つの4K記録方式のダビング/再生に対応

他の4Kレコーダーでダビングしたディスクを再生する時、本機でダビングしたディスクを他の4Kレコーダー/プレーヤーで再生する時も安心して見られます。

画像:2つの4K記録方式のダビング/再生に対応 画像:2つの4K記録方式のダビング/再生に対応

•4KDRモード/4K長時間録画モードでブルーレイディスクにダビングした番組は、他機器では再生できない場合があります。ダビング方式を変更することで、再生できる場合があります。詳しくは「ブルーレイディスクにダビングした4K放送番組が他機器で再生できなかった場合」をご覧ください。
• ダビング10やコピーワンスは、放送事業者によって番組単位で設定されたダビング回数に制限されます。
• 4KDRモード/4K長時間録画モードの番組を、ディスクへ「4K 4.5倍録」から「4K 8~12倍録」に変換しながらダビングすることはできません。一旦、内蔵HDD上で目的の録画モードに「録画モード変換」した後、その番組をディスクへ高速ダビングしてください。

ビエラ連携機能

4Kビエラ オートAI画質/オートAI音質 連携
AIがシーンごとに設定した最適な視聴環境で楽しめる

「オートAI画質」「オートAI音質」に対応した4Kビエラとディーガを接続して使用した際に、ディーガに録画した放送番組をより高画質、高音質に4Kビエラで楽しめます。

ビエラのオートAI画質

放送や映画など100万を超える映像のシーンから構成される学習用データベースをディープラーニングを活用してAIが学習し、シーン認識アルゴリズムを生成。シーンに応じて自動的に最適な画質に調整する技術。例えば映画の暗いシーンでは細部までコントラスト豊かに描き、晴天のスポーツのシーンは芝生の色まで明るく色鮮やかに表現します。

画像:映画の暗いシーンも、豊かなコントラストで再現

映画の暗いシーンも、豊かなコントラストで再現

画像:スポーツ中継も、より明るく鮮やかで臨場感あふれる映像に

スポーツ中継も、より明るく鮮やかで臨場感あふれる映像に

ビエラのオートAI音質

AI技術を活用し、シーンに応じて理想的な音場と音質に自動的に調整する技術。例えば、ニュースのシーンは音を画面中央に定位させて声をハッキリと聞き取りやすくし、スポーツのシーンではスタジアムのように音が広がって臨場感あふれる音場に調整します。

画像:ニュースやトーク番組の声がハッキリと聞き取りやすい

ニュースやトーク番組の声がハッキリと聞き取りやすい

画像:スポーツ中継は歓声が広がり、実況の声もクリアに聞こえます

スポーツ中継は歓声が広がり、実況の声もクリアに聞こえます

その他の画質機能

4K超解像/W超解像
色彩や輪郭をよりクリアに

「4K超解像」と「W超解像」により高精細で色鮮やかな映像を楽しめます。「4K超解像」処理では、映像の明るさ(輝度信号)や色情報(色信号)を画素単位で分析、補正。4Kアップコンバート映像の鮮鋭感や精細感を自在に調整します。さらに「W超解像」によって、輝度と色の両方に対して圧縮や伝送で失われた輪郭やテクスチャをクリアに再現。4K映像の再生時はもちろん、ハイビジョン映像を4Kアップコンバート出力する場合もより美しい映像を堪能できます。

• インターネット動画再生時は対応していません。

画像:4K超解像/W超解像 画像:4K超解像/W超解像

マスターグレードビデオコーディング
深みのある色彩・質感・奥行きを豊かに表現

近年、映画やアニメーションのマスター映像は30bit以上の高階調で制作されることが一般的になっています。しかしブルーレイやハイビジョン放送などで一般家庭向けに提供される際には、ブルーレイディスク規格や放送規格に基づき、24bit階調に制限された映像でしか見ることができません。当社が開発した技術「マスターグレードビデオコーディング」は、ブルーレイディスク規格に準拠した映像データに加え、制限によって失われる映像情報を独自の拡張データとしてディスクに記録することで、最大36bitの高階調映像の記録・再生を実現。これにより、業務用スタジオマスターと同等のなめらかで質感豊かな高階調映像を味わえます。

画像:通常のブルーレイディスク映像

通常のブルーレイディスク映像

スタジオマスター映像と比べると色や質感の細かな違いを描ききれていない。特に暗い部分の描写が埋もれてしまい、深さを表現しきれていない。

画像:マスターグレードビデオコーディング映像

マスターグレードビデオコーディング映像

スタジオマスター映像の持つ深みのある色彩・質感・奥行きまで豊かに表現。

• 30bit階調=10bit(Y)+10bit(Cb)+10bit(Cr)。
• 36bit階調=12bit(Y)+12bit(Cb)+12bit(Cr)。通常のブルーレイディスクの映像は24bit階調=8bit(Y)+8bit(Cb)+8bit(Cr)。
• 「マスターグレード\MASTER GRADE」は(株)バンダイの登録商標です。
• 「マスターグレードビデオコーディング」の文字およびロゴはパナソニックホールディングス株式会社の登録商標です。
*「MGVC」はマスターグレードビデオコーディングの略称です。

HDオプティマイザー
不要なノイズを低減する

ハイビジョン映像から標準映像まで、動画のブロックノイズやランダムノイズ、モスキートノイズなどを低減します。

画質モード
ディスプレイや映像素材に応じて画質を選べる

<対応機種> 4X1003/4X403/4T403/4T303/4T203/4T103

映像素材に応じた画質モードから選べます。

• 標準(デフォルト)
• シネマ
• アニメ

• Ultra HD ブルーレイ再生時には対応していません。

画像:画質モード

映像素材に応じて最大6種類の画質を選べる

<対応機種> ZR1

「標準(デフォルト)」「シネマ」「アニメ」の3種類から映像素材に応じた画質モードを選べます。市販ブルーレイディスクの再生時は、「ハイレゾシネマ」「レトロシネマ」「ライブ」を加えた6種類のモードに対応しています。Ultra HD ブルーレイ再生時はこれらの画質モードに対応していません。

MPEG-4 AAC 22.2ch 音声出力
4K衛星放送の番組を5.1chまで、もしくは22.2chの音声で楽しめる

HDMI端子からMPEG-4 AAC音声をBitstream形式で出力できるようになりました。4K衛星放送の番組を、HDMIで接続先機器(テレビ、AVアンプ、サウンドバー等)のAACのデコード能力に応じて、5.1chまで、もしくは22.2chの音声で楽しめます。

2系統HDMI出力
信号の干渉を最低限に抑え、より低ノイズに信号を伝送

<対応機種> 4X1003/4X403/ZR1/4T403/4T303

AV分離出力可能な2系統HDMI出力を搭載。HDMIの音声端子に接続するとHDCP2.2、4K、HDRに非対応のAVアンプも使えます。また、映像と音声の信号を分離することで互いの信号の干渉を最低限に抑え、より低ノイズに信号を伝送できます。

高音質機能

ハイレゾリマスター再生
番組の音声やCD音源をハイレゾ相当のいい音で聴ける

ハイレゾオーディオ

ディーガで視聴している放送番組や、ディーガに保存したCD音源や録画番組、ブルーレイディスク/DVD/CDの音声を「ハイレゾリマスター再生」機能でハイレゾ相当にアップコンバート。音楽だけでなく、テレビ番組や映画もより高音質で楽しめます。音楽再生中は、ディーガのリモコンの「黄」ボタンを押すだけで、かんたんに「ハイレゾリマスター再生」の設定を選択可能。お好みに応じて、アップコンバート処理時の高域と低域に対する音の補完量を変えられます。また、再生時にはテレビの画面をオフにして音楽だけを楽しんだり、スマートフォンで選曲したりすることもできます。

※HDMI出力なら最大で192kHz/24bit。音楽CDを再生する場合、最大176.4kHz/24bitで出力します。
• ハイレゾ対応のアンプやテレビとの接続が必要です。
• 音楽画面以外から設定するには、サブメニューの再生設定から選択できます。

番組ぴったりサウンド(ビエラ・サウンドバー連携機能)
番組ジャンルに合わせて、5種類のサウンドモードを自動で切り換え

「番組ぴったりサウンド」対応のビエラやサウンドバーなどと接続した場合、自動で連携して録画番組のジャンルにあわせて5種類のサウンドモードを自動で切り換えます。

画像:番組ぴったりサウンド 画像:番組ぴったりサウンド

• ビエラリンクの番組ぴったりサウンド機能に対応したビエラおよび当社製ホームシアターあるいはシアターバーとの接続時のみ。HDMI-CEC規格に対応したテレビのARC対応HDMI端子との接続が必要です。

対応機種

【BSによる8K放送について】
2018年から放送が開始されたBSによる8K放送の受信および録画機能は搭載されていません。
• 記載されている各種名称、会社名、商品名などは、各社の登録商標または商標です。
• 機能説明写真、シーン写真、イラストはイメージです。